电子设备朝着小型化和高速化的方向不断发展,这使得其功率密度大幅提升,进而导致电子设备产生大量热量。尽管微通道散热器本身已具备较高的热性能,但随着电子设备对散热需求的不断提高,研究人员仍在探索进一步强化传热的技术,如采用纳米流体、增大传热面积以及促使热边界层重新发展等。肋片,也被称为粗糙元或扰流件,因其在强化传热方面效果显著,已得到广泛的研究和应用。尽管采用肋片可以增强微通道散热器的热性能,但由于流动扰动大以及流动阻塞效应,也会导致压降升高。此外,还有大量研究聚焦于肋片的横截面形状对微通道散热器热工水力性能的影响。垂直肋和展向肋均能通过扰动热边界层和引发回流来促进冷热流体混合,从而改善传热特性。然而,它们所扰动的热边界层和引发的回流仅局限于垂直或展向单一方向,这使得垂直肋和展向肋对传热的强化作用受到限制,无法充分提升微通道散热器的传热能力。为此,本文提出了一种新型的双向肋,它由垂直肋和展向肋组合而成,能够在垂直和展向两个方向上同时破坏热边界层并引发回流,进而进一步强化传热效果。


新型双向肋微通道散热器由两部分组成,如图 1(a)所示:一部分是带有垂直肋粗糙化微通道的盖板;另一部分是带有展向肋粗糙化微通道的基板。

图 1 为双向肋微通道散热器的结构示意图(a)以及双向肋的几何结构示意图(b),其中标注了盖板、出口、展向肋、垂直肋宽度、垂直肋、垂直肋高度、入口、展向肋高度、展向肋宽度、垂直肋长度、展向肋数量、展向肋长度和基板等结构。
由于所设计的微通道散热器为周期性结构,为了体现其流动和传热特性,仅选取单分支微通道作为计算域,如图 2所示。

图 2 展示了三种不同肋片结构的单分支微通道示意图,(a)为带有双向肋的微通道,(b)为带有垂直肋的微通道,(c)为带有展向肋的微通道,图中还标注了热源位置。
本研究采用商业软件 Fluent 对不同肋片结构的固 - 液耦合传热过程进行模拟,该软件能够为评估传热和流动特性提供便捷且精确的方法。为确保模拟结果的高精度,所有模型均采用 ANSYS ICEM CFD 14.5 生成六面体网格,如图 3 所示。

图 3 为双向肋处带肋通道的结构化网格示意图,展示了双向肋附近的详细网格分布情况。
采用微加工技术制作所设计的双向肋微通道散热器,其主要工艺流程如图 4 所示。为对比双向肋对流体流动和传热的影响,采用相同的几何尺寸和制作工艺制作了另外两种分别带有垂直肋和展向肋的微通道散热器。

图 4 为双向肋微通道散热器的主要制作工艺流程示意图,清晰展示了从基板和盖板的初始加工到最终集成结构的形成过程,涉及硅、二氧化硅、光刻胶、铬 / 铜、锡、镍等材料的处理步骤。

图 5 为扫描电子显微镜(SEM)图像,(a)展示了带有垂直肋的盖板结构,(b)展示了带有展向肋的基板结构。
设计了一套实验装置用于测量不同肋片结构微通道散热器的传热和摩擦特性,如图 6 所示。该装置由 Masterflex 蠕动泵、过滤器、电子天平、两支温度计和压力计、直流电源以及红外热像仪组成。

图 6 为实验装置示意图,清晰标示出了直流电源、压力计、测试段、温度计、泵、换热器、红外相机、过滤器、收集容器、数字电子天平和恒温水浴等各个组件的连接关系和位置。
本实验在雷诺数 100 至 1000 的范围内,对所有带肋微通道的平均努塞尔数和表观摩擦系数进行了测量和预测,并详细探讨了不同肋片对传热和流动特性的影响机制。此外,还分析了垂直肋的相对肋高(eVR)和展向肋的相对肋宽(eSR)对热工水力性能的影响。
图 7 展示了所有带肋微通道的平均努塞尔数随雷诺数的变化情况。对于所有案例,模拟得到的努塞尔数与实验测量结果吻合良好,双向肋微通道(BR-MC)、垂直肋微通道(VR-MC)和展向肋微通道(SR-MC)的最大偏差分别为 7.1%、8% 和 9.8%。

图 7 为所有带肋微通道的努塞尔数随雷诺数变化的曲线,其中包含了模拟数据和实验数据,清晰展示了不同肋片结构微通道在不同雷诺数下的努塞尔数差异。
图 8 展示了展向肋微通道(SR-MC)、垂直肋微通道(VR-MC)、双向肋微通道(BR-MC)以及带有前向三角形展向肋的微通道的努塞尔数与光滑微通道努塞尔数的比值(Nu/Nu₀)随雷诺数的变化情况(其中 Nu₀为光滑微通道的努塞尔数)。

图 8 为所有带肋微通道的归一化努塞尔数(Nu/Nu₀)随雷诺数变化的曲线,通过与带有前向三角形展向肋的微通道对比,凸显了双向肋微通道的传热强化优势。
上述结果表明,在相同雷诺数下,双向肋能够在微通道中实现最显著的传热强化。然而,需要注意的是,较高的传热强化效果通常伴随着表观摩擦系数的增大。图 9 展示了双向肋微通道、展向肋微通道和垂直肋微通道的表观摩擦系数随雷诺数的变化情况。

图 9 为所有带肋微通道的表观摩擦系数随雷诺数变化的曲线,包含了模拟数据和实验数据,清晰呈现了不同肋片结构微通道在不同雷诺数下的摩擦特性差异。
为深入理解三种不同结构微通道的传热和压降特性的内在机制,本节展示并讨论了三维微通道模型中的流线 所示。

图 10 为雷诺数 Re=500 时,五种至七种肋片之间三种微通道结构(a)垂直肋微通道、(b)展向肋微通道、(c)双向肋微通道的三维流线图,清晰展示了不同肋片结构下流体的流动状态和回流区域分布。
同时,为进一步探究流场和传热机制,还展示了二维横截面的流线 展示了在测试段第五和第六个肋片之间,x=0.3125 毫米处的 y-z 横截面(左侧)和 z=0.9 毫米处的 x-y 横截面(右侧)在雷诺数 Re=500 时的流线分布。显然,垂直肋、展向肋和双向肋的引入均在微通道中引发了回流。

图 11 为雷诺数 Re=500 时,第五和第六个肋片之间(a)垂直肋微通道、(b)展向肋微通道、(c)双向肋微通道在 x=0.3125 毫米处(左侧)和 z=0.9 毫米处(右侧)的横截面流线图,直观呈现了不同肋片结构在不同横截面处的回流分布和流场变化。
图 12 展示了雷诺数 Re=500 时,三种带肋微通道在第五和第六个肋片之间的中心横截面(x=0.3125 毫米、y=5.55 毫米、z=0.9 毫米)上的详细温度场分布,所有案例的温度等级相同。

图 12 为雷诺数 Re=500 时,(a)垂直肋微通道、(b)展向肋微通道、(c)双向肋微通道在第五和第六个肋片之间中心横截面(x=0.3125 毫米、y=5.55 毫米、z=0.9 毫米)上的温度场分布图,通过不同颜色标识温度高低,清晰展示了不同肋片结构下的温度分布差异和回流区域对温度场的影响。
三种带肋微通道四个壁面上的传热情况通过局部努塞尔数(Nux)进行展示,如图 13 所示。

图 13 为雷诺数 Re=500 时,三种带肋微通道在(a)顶壁、(b)左壁、(c)右壁和(d)底壁上的局部努塞尔数分布图,通过不同颜色深浅标识局部努塞尔数大小,直观反映了不同壁面和不同肋片结构下的局部传热特性。
根据前述结果可以得出,双向肋微通道在传热性能方面显著优于垂直肋微通道和展向肋微通道。本研究的下一步旨在分析肋片几何参数对双向肋微通道热工水力性能的影响。图 14 展示了雷诺数 Re=500 时,双向肋微通道的努塞尔数随 eSR 和 eVR 的变化情况。

图 14 为雷诺数 Re=500 时,双向肋微通道的平均努塞尔数随展向肋相对肋宽(eSR)和垂直肋相对肋高(eVR)变化的曲线,同时标注了与展向肋微通道和垂直肋微通道的对比情况。
图 15 展示了 eSR 和 eVR 对表观摩擦系数的影响。可以明显看出,在整个雷诺数范围内,随着 eSR 和 eVR 的增大,表观摩擦系数持续增大。

图 15 为雷诺数 Re=500 时,双向肋微通道的平均摩擦系数随展向肋相对肋宽(eSR)和垂直肋相对肋高(eVR)变化的曲线,同时体现了与展向肋微通道和垂直肋微通道的摩擦系数差异。
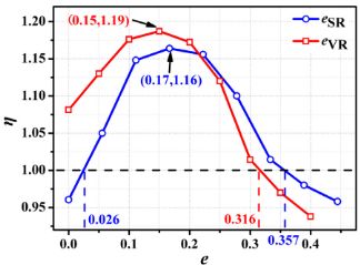
图 16 展示了雷诺数 Re=500 时,双向肋微通道的传热强化因子随 eSR 和 eVR 的变化情况。随着 eSR 和 eVR 的增大,传热强化因子先显著增大后减小。

图 16 为雷诺数 Re=500 时,双向肋微通道的传热强化因子随展向肋相对肋宽(eSR)和垂直肋相对肋高(eVR)变化的曲线,标注了最大传热强化因子对应的参数值以及传热强化因子大于 1 的参数范围。


本文通过实验与数值模拟,研究了带双向肋(BR)微通道散热器的热工水力性能并与垂直肋(VR)、展向肋(SR)微通道对比,阐明了双向肋传热强化机制及相关参数影响。结果表明,相同质量流量下,双向肋微通道的努塞尔数分别为垂直肋、展向肋微通道的 1.2-1.42 倍和 1.4-2 倍,传热强化效果更优,但因阻塞效应表观摩擦系数最大;双向肋通过在垂直和展向双向破坏热边界层、引发回流实现高效传热,其四个壁面局部努塞尔数均最大;垂直肋相对肋高(eVR)和展向肋相对肋宽(eSR)增大可提升传热但会增加摩擦系数,当 eVR0.316 且 0.026


客服1